随着新能源汽车的发展,对汽车座椅塑料件的要求也愈加严格。
能满足汽车座椅塑料件新要求的高分子材料有聚甲醛、聚碳酸酯及其合金、丙烯酸–苯乙烯–丙烯腈塑料、可发泡聚丙烯、聚氨酯合成革/超纤革。
01
聚甲醛 (POM)
分子式:C3H6O3X2(CH2O)x
熔 点:175 °C
密 度:1.42 g/mL at 25 °C
闪 点:158 °F
存储条件:2-8°C
POM 分子结构规整,结晶度高,因此其物理力学性能十 分优异,有“金属塑料”之称。POM 最突出的性能是耐蠕变和耐疲劳性优异( 疲劳强度高达27.4×107 MPa),耐反复冲击性优良。
汽车座椅的各种调节手把以及各种调节电机的塑料齿轮的使用环境均比较复杂,要求材料具有较高的力学强度、优异的耐蠕变性和耐疲劳性,同时还应有良好的自润滑性和耐摩擦性。
因此,POM 以其卓越的性能正受到汽车及机械行业越来越多的青睐。
02
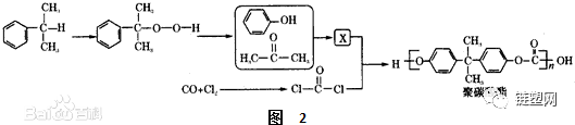
聚碳酸酯 (PC) 及其合金
分子式:2,2'-双(4-羟基苯基)丙烷聚碳酸酯
熔 点:220 ℃
密 度:1200Kg/m3
水溶性:不溶
聚碳酸酯是一种强韧的热塑性树脂,可由双酚A和氧氯化碳(COCl2)合成。现较多使用的方法为熔融酯交换法(双酚A和碳酸二苯酯通过酯交换和缩聚反应合成)。
PC 是分子链重复结构单元为碳酸酯的聚合物,具有优异的力学强度、耐热性能、耐紫外线、耐冲击性,蠕变小,制品尺寸稳定。
重视安全性和舒适性的汽车座椅常配有侧气囊和腰托;腰托调节手把在侧气囊展开时存在脱落飞出的风险,因此其使用材料要求具有优异的低温/常温抗冲击性能。
PC 能满足腰托调节手把的使用要求,但其加工流动性差,因此常用 ABS 或 PBT 进行改性。
ABS 在保持PC 耐热性、力学强度和尺寸稳定性的前提下,降低了PC 的熔体黏度,降低对厚壁和低温的敏感性,提高韧性,降低材料成本。
PC/PBT 合金在低温和室温下耐冲击性能好、缺口敏感性小、尺寸稳定性好、耐汽油泄漏、加工范围宽 。
03
丙烯酸 – 苯乙烯 – 丙烯腈塑料 (ASA)
ASA 是丙烯酸酯类橡胶体与丙烯腈、苯乙烯的接枝共 聚物。
同ABS 相比,ASA 的橡胶相是不含双键的丙烯酸酯, 这种主链的饱和结构大大改善了其耐候性,克服了ABS 长期置于室外使其力学强度下降、受日光照射分解而使颜色变黄等缺点;其它力学性能、加工性能、电绝缘性、耐化学药品腐蚀性与 ABS 相似 。
因 ASA 所具备的优异的耐紫外线性能,即使经长时间 的气候影响也不会出现灰色情况,而 ABS 即便是UV 级也会出现灰色情况,因此ASA 广泛应用于汽车领域。
汽车座椅的各种电机调节按钮均可以用ASA 代替ABS ;Audi A6L 的前排座椅调节按钮及后排座椅ISO 固定位置盖板已应用了 ASA 树脂。
04
可发泡聚丙烯 (EPP)
EPP 具有良好的热稳定性( 最高使用温度达130℃,而 聚苯乙烯仅为80℃ )、良好的耐应力开裂性能及高温下制品的尺寸稳定性、较高的韧性以及较高的拉伸强度和冲击强度;另外,由于PP 分子上存在一个甲基,其化学性质决定了 EPP 本身的降解性将明显优于其它发泡材料。
EPP 常用于汽车保险杠、汽车侧面防震芯、汽车车门防 震芯、工具箱、后备箱、扶手、底垫板、遮阳板、仪表板等。
目前儿童安全座椅基本是采用EPP 生产,国外一些高档汽车及赛车车型的座椅泡沫已经实现了EPP 完全代替 PUR。此外,EPP 头枕泡沫在座椅鞭打试验中能有效防止假人颈部损伤。
05
PUR 合成革/超纤革
PVC 人造革存在手感硬、皮感差、舒适性及耐老化性 差、气味重、增塑剂易迁移、有毒添加剂对人体有一定致癌作用、垃圾处理及回收困难等缺陷。
目前汽车座椅及内饰件的 PVC 人造革正逐渐被PUR 合成革所取代。
PUR 合成革分为干法、湿法和环保型三类。干法PUR 合成革由于加工过程中挥发性有机化合物含量低,且制成的皮革耐磨耐刮性、 耐水解性、耐候性等较好,手感柔软,表面真皮感强,价格便宜,因此目前已被广泛应用于汽车扶手和坐垫上。
超细纤维 PUR 合成革采用与天然皮革中束状胶原纤维 结构及性能相似的超细纤维制成具有三维网络结构的高密度无纺布,再填充性能优异且具有开式微孔结构的PUR 树脂加工处理而成。
这种PUR合成革在外观、力学强度、弹性、耐化学物质稳定性等方面与天然皮革十分相似,并且手感也非常轻薄。
结语
作为在整车内饰中占比最大、结构最复杂的座椅系统,改性行业正在不断开发并使用更多的高分子材料,并在此基础上提升设计能力和制造工艺水平,从而为我国汽车及零部件行业的发展做出应有的贡献。






