为了研究商用全降解包装袋在常温环境下力学性能的变化情况,为全降解包装材料的开发、使用和评价提供参考和指导,在常温常湿的办公环境中,测试了生产型设备制备的不同厚度PBAT/PLA全降解包装袋的拉伸强度、断裂伸长率、热封强度随时间的变化。
测试结果表明,随着放置时间的增加,常温常湿环境对PBAT/PLA全降解包装袋的力学性能也有明显的负面影响:老化试验前后,0.015mm厚度的PBAT/PLA全降解包装袋的拉伸强度优于0.04mm厚度的全降解包装袋;断裂伸长率、热封强度方面,0.04mm厚度的全降解包装袋则优于0.015mm厚度的全降解包装袋。
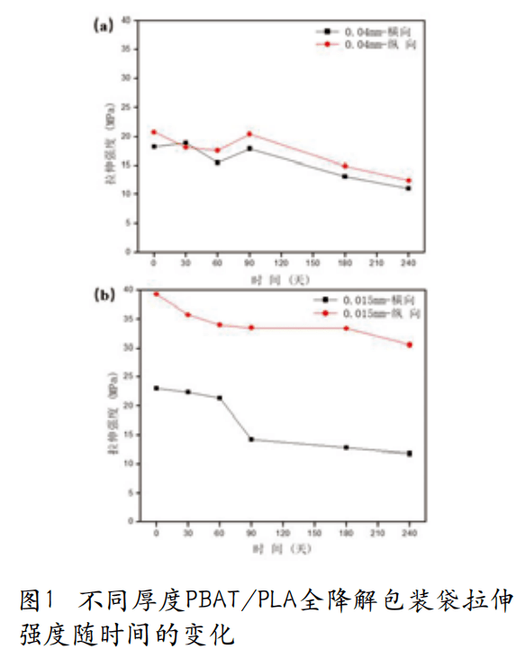
常温常湿环境下PBAT/PLA全降解包装袋拉伸强度的变化
拉伸强度往往是薄膜类包装材料最重要的力学性能和质量评价指标之一。图1为常温常湿环境下PBAT/PLA全降解包装袋拉伸强度的变化。从图1可以看出,随着老化时间的增加,不同厚度全降解包装袋的拉伸强度均呈现下降趋势,表明暴露在环境中的时间越长,材料老化程度越深,内部结构的破坏程度越大。
具体地,对比图1的(a)和(b)可以看出,经过240天的老化,0.04mm厚度全降解包装袋的横向拉伸强度从最初的18.2MPa降至11.0MPa,下降幅度为39.6%,纵向拉伸强度从最初的20.8MPa降至12.4MPa,下降幅度为40.4%;0.015mm厚度全降解包装袋的横向拉伸强度从最初的23.1MPa降至11.8MPa,下降幅度为48.9%,纵向拉伸强度从最初的39.3MPa降至30.6MPa,下降幅度为22.1%。
从结果可以看出,0.015mm厚的全降解薄膜拉伸强度的初始值和终末值均高于0.04mm厚的全降解薄膜。老化实质是一个热氧降解过程,在老化初期,聚合物树脂部分羰基被氧化产生自由基,加速了树脂的降解, 微观上表现为薄膜分子链的断链、结晶区的破坏和分子链间作用力的减弱,宏观上表现为薄膜力学强度的下降。

常温常湿环境下PBAT/PLA全降解包装袋断裂伸长率的变化
一般来说,断裂伸长率越大, 说明材料韧性越好,断裂伸长率越小,说明材料脆性越大。图2为常温常湿环境下PBAT/PLA全降解包装袋断裂伸长率的变化。从图2可以看出,随着老化时间的增加,不同厚度全降解包装袋的断裂伸长率均呈现下降趋势,表明老化时间越长, 材料内部结构的破坏程度越大,断裂伸长率越差。
具体地,对比图2的(a)和(b)可以看出,经过240天的老化,0.04mm厚度全降解包装袋的横向断裂伸长率从最初的597%降至450%,下降幅度为24.6%;纵向断裂伸长率从最初的562%降至284%,下降幅度为49.5%;0.015mm厚度全降解包装袋的横向断裂伸长率从最初的443%降至129%,下降幅度为70.9%;纵向断裂伸长率从最初的144%降至82%,下降幅度为43.1%。

从结果可以看出,0.04mm厚的全降解薄膜断裂伸长率在试验过程中始终高于0.015mm厚的全降解薄膜。对比图1和图2还可以看出,薄膜包装材料断裂伸长率下降幅度比拉伸强度大,表明老化导致了材料柔韧性下降,脆性增加,可能与空气中存在的氧自由基作用于材料分子链的化学键,导致分子侧链被氧化断链、大分子网络结构稳定性下降有关。
常温常湿环境下PBAT/PLA全降解包装袋热封强度的变化
图3为常温常湿环境下PBAT/ PLA全降解包装袋热封强度的变化。从图3可以看出,随着老化时间的增加,不同厚度全降解包装袋的热封强度均呈现下降趋势,表明暴露在环境中的时间越长,材料内部结构的破坏程度加大,热封性能越差。

具体地,经过240天的老化,0.04mm厚度全降解包装袋的热封强度从最初的19.7N降至10.8N,下降幅度为45.2%;0.015mm厚度全降解包装袋的热封强度从最初的13.6N降至8.8N,下降幅度为35.3%。从图3可以看出,0.04mm厚度全降解包装袋热封强度的下降速率比0.015mm的包装快,在240天后基本接近0.015mm厚度的包装袋的性能。根据微裂纹理论,塑料基体在发生形变时内部会产生很多微裂纹,一些具有弹性的粒子横跨在微裂纹之间,可以阻止微裂纹进一步增长成裂纹。
因此,不同厚度薄膜的热封过程中可能形成了一些聚合物结节,在经过一段时间的老化降解后,对于内部结构的抗氧化能起到一定的作用。
常温常湿环境下PBAT/PLA全降解包装袋微观形貌的变化
图4为PBAT/PLA全降解包装袋老化前后微观形貌的扫描电镜图片。对比图4的(a)和(b)可以看出,新制备的PBAT/PLA全降解包装袋的微观形貌比较平整,而经过180天常温常湿环境老化后,PBAT/PLA全降解包装袋的微观形貌发生很大改变,出现了很多突起和沟槽,表面十分不平整。

因此可以推测,经过长时间老化,全降解薄膜表面逐渐被空气中的水分和氧气“侵蚀”,可能局部产生一些凹陷点,凹陷点具有更大的表面积,进一步被氧化降解,逐渐形成连线、连片并向材料内部蔓延,使得全降解材料不光表面变得粗糙,内部也逐渐出现孔隙,在宏观上则表现为拉伸强度、断裂伸长率、热封强度等力学性能的下降。
结论
①常温常湿环境对PBAT/PLA全降解包装袋的力学性能有明显的负面影响。
②老化试验前后,0.015mm厚度的PBAT/PLA全降解包装袋的拉伸强度优于0.04mm厚度的全降解包装袋;断裂伸长率、热封强度方面, 0.04mm厚度的全降解包装袋则优于0.015mm厚度的全降解包装袋。
③综上所述,针对不同的应用场景和环境条件,在实际使用全降解包装材料用于产品包装时,可以适量添加抗氧化剂、抗腐蚀剂,并注意避免阳光直射、避免高湿高盐的环境,贮存摆放在阴凉通风处。






